SELECT
时序数据库支持使用 SQL 语句执行简单查询、嵌套查询、关联查询、联合查询和插值查询。
简单查询
SELECT 语句是读取和处理现有数据的主要 SQL 语法。当用作独立语句时,SELECT 子句也称为 SELECT 语句。但是,它也是一个选择子句,可以与其他结构组合以形成更复杂的选择查询。
KaiwuDB 支持通过以下集群参数设置时序数据查询的相关配置:
SET CLUSTER SETTING ts.parallel_degree = <value>:设置并行查询数目。SET CLUSTER SETTING sql.auto_limit.quantity = <value>:配置 SQL 查询结果的返回行数。SET CLUSTER SETTING ts.ordered_table.enabled:当用户未使用ORDER BY子句指定排序时,配置是否按照数据写入的时间戳逆序返回查询结果。当设置为true时,对于单设备查询,按照数据写入的时间戳逆序返回查询结果。对于多设备查询,先转换成单设备查询,然后再合并所有的数据。
更多参数设置,参见集群实时参数。
KaiwuDB 支持在查询中对列类型为时间戳、时间戳常量以及结果类型为时间戳的函数和表达式按最高精度进行加减运算并返回运算结果。运算结果支持使用大于号(>)、小于号(<)、等号(=)、大于等于号(>=)、小于等于号(<=)进行比较。运算中可以包含 interval 常量、其他时间戳列以及结果类型为 interval、timestamp 或 timstamptz 的函数和表达式。如果运算符两边均为 timestamp 或 timestamptz 类型,则只支持减法运算。
加减运算中,interval 常量支持的单位包括纳秒(ns)、微秒(us)、毫秒(ms)、秒(s)、分(m)、小时(h)、天(d)、周(w)、月(mon)、年(y)。目前,KaiwuDB 不支持复合时间格式,如 1d1h。
毫秒、秒、分、小时的取值范围受纳秒最大值(INT64)范围限制。下表列出具体支持的取值范围:
| 单位 | 取值范围 |
|---|---|
| 纳秒(ns) | [0, 9,214,646,400,000,000,000] |
| 微秒(us) | [-62,167,219,200,000, 31,556,995,200,000] |
| 毫秒(ms) | [-62,167,219,200,000, 31,556,995,200,000] |
| 秒(s) | [-9,223,372,036, 9,223,372,036] |
| 分(m) | [-153,722,867, 153,722,867] |
| 小时(h) | [-2,562,047, 2,562,047] |
天、周、月、年的取值范围受加减计算结果的限制。计算结果对应的毫秒数不得超过 INT64 范围。
说明
时间加减表达式支持出现在以下位置:
SELECT列表:例如SELECT ts+1h FROM table1;将返回表中时间戳列加上 1 小时后的结果。WHERE子句:例如SELECT * FROM table1 WHERE ts+1h > now();将返回表中时间戳列加上 1 小时后大于当前时间的数据。ORDER BY子句:例如SELECT * FROM table1 ORDER BY ts+1h;将按时间戳列加上 1 小时后的值进行排序。HAVING子句:例如SELECT MAX(ts) FROM table1 GROUP BY ts HAVING ts+1h > now();将筛选出满足条件的分组结果。- 参数类型为 timestamp 的函数调用:例如
SELECT CAST(ts+1h AS timestamp) FROM table1;可以将时间戳列加上 1 小时后的结果转换为 timestamp 类型。 - 使用比较运算符的表示连接条件:例如
SELECT * FROM table1,table2 WHERE table1.ts+1h > table2.ts;表示在连接两个表时使用时间加减条件。
所需权限
- 非三权分立模式下,用户是
admin角色的成员或者拥有目标表的 SELECT 权限。默认情况下,root用户属于admin角色。 - 三权分立模式下,用户是拥有目标表 SELECT 权限的普通用户。
语法格式

select_clause
a_expr
target_elem
alias_clause
as_of_clause
参数说明
| 参数 | 说明 |
|---|---|
order_by_clause | ORDER BY 子句由一个或多个排序规范组成,每个规范可以是标量表达式。系统通过给定的排序规范对结果集进行排序,可以指定 ASC(升序,默认)或 DESC(降序)关键字来控制排序顺序。 |
limit_clause | LIMIT 子句指定返回结果的最大行数。例如,LIMIT 10 表示限制查询结果最多为 10 行。支持设置为 LIMIT ALL,表示返回所有行。KaiwuDB 也支持使用 sql.auto_limit.quantity 集群参数配置 SQL 查询结果的返回行数。但是,Limit 子句的优先级大于 sql.auto_limit.quantity 集群参数。 |
offset_clause | OFFSET 子句用于跳过前面的偏移量行数。OFFSET 子句通常与 LIMIT 组合使用,通过限制结果的数量,实现分页显示结果,避免一次性检索所有数据。 |
fill_clause | FILL 子句用于在指定时间点无数据时按策略返回补充值。使用 FILL 子句时,SELECT 只允许单列,FROM 只允许单表,WHERE 只能包含主标签和时间戳精确匹配条件,不支持与 GROUP BY、HAVING 联用。关于 FILL 子句的详细说明,参见插值查询。 |
DISTINCT | 当使用 DISTINCT 关键字时,系统删除返回结果中重复的行。 |
target_elem | target_elem 可以是标量表达式,也可以是星号(*)。- 当 target_elem 是标量表达式时,系统使用标量表达式计算每个结果行的值,然后将计算结果作为结果集中的一列返回。- 当 target_elem 为星号(*)时,系统自动从 FROM 子句中检索所有列。如果 target_elem 包含聚合函数,可以使用 GROUP BY 子句进一步控制聚合。 |
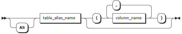
alias_clause | 别名子句,用于为表名或子查询结果集指定别名,使查询更易读和易于理解。 |
as_of_clause | 用于检索指定时间点的数据。 说明 由于系统时间返回的是历史数据,读取的结果可能会过时。 |
WHERE | WHERE 子句用于指定过滤条件,筛选出符合条件的行。格式为 WHERE <column> <operator> <value>,其中 <operator> 支持 =、<>、<、<=、>、>=、LIKE 操作符。WHERE 语句只检索表达式返回值为 TRUE 的行。列可以是数据列或标签列。 |
GROUP BY | GROUP BY 子句根据表达式或分组窗口函数将数据集划分成小组,然后对这些小组进行数据处理。聚合查询与 GROUP BY 连用时,应避免 GROUP BY 后的结果集行数过大。关于分组窗口函数的详细信息,参见分组窗口查询。 |
HAVING | 当 WHERE 关键字无法与聚合函数一起使用时,HAVING 子句可以用来筛选分组后的各组数据。通常情况下,HAVING 子句与 GROUP BY 子句联用,只检索 a_expr 表达式返回值为 TRUE 的聚合函数组。a_expr 必须是使用聚合函数返回布尔值的标量表达式(例如 <聚合函数> = <value>)。HAVING 子句的作用类似于 WHERE 子句,但适用于聚合函数。 |
语法示例
查询时序表的数据。
以下示例假设经创建
ts_db数据库。以下示例查询t1时序表的数据。-- 1. 创建 t1 时序表并写入数据。 CREATE TABLE ts_db.t1(ts timestamp not null,a int, b int) tags(tag1 int not null, tag2 int) primary tags(tag1); CREATE TABLE -- 2. 向表中写入数据。 INSERT INTO ts_db.t1 VALUES(now(),11,11,33,44); INSERT INTO ts_db.t1 VALUES(now(),22,22,33,44); INSERT INTO ts_db.t1 VALUES(now(),11,33,33,44); INSERT INTO ts_db.t1 VALUES(now(),22,44,33,44); INSERT INTO ts_db.t1 VALUES(now(),33,55,44,44); INSERT INTO ts_db.t1 VALUES(now(),22,44,44,44); INSERT INTO ts_db.t1 VALUES(now(),33,44,55,44); INSERT INTO ts_db.t1 VALUES(now(),null,null,66,66); INSERT INTO ts_db.t1 VALUES(now(),null,null,66,77); -- 3. 查看表的内容。 SELECT * FROM t1; ts | a | b | tag1 | tag2 --------------------------------+------+------+------+------- 2024-02-26 01:28:28.867+00:00 | 11 | 11 | 33 | 44 2024-02-26 01:28:28.874+00:00 | 22 | 22 | 33 | 44 2024-02-26 01:28:28.877+00:00 | 11 | 33 | 33 | 44 2024-02-26 01:28:28.88+00:00 | 22 | 44 | 33 | 44 2024-02-26 01:28:28.883+00:00 | 33 | 55 | 44 | 44 2024-02-26 01:28:28.885+00:00 | 22 | 44 | 44 | 44 2024-02-26 01:28:28.888+00:00 | 33 | 44 | 55 | 44 2024-02-26 01:28:28.89+00:00 | NULL | NULL | 66 | 66 2024-02-26 01:28:28.893+00:00 | NULL | NULL | 66 | 66 (9 rows)查询指定的数据列。
以下示例查询
t1表的a列并进行求和。SELECT sum(a) FROM ts_db.t1; sum ------- 154 (1 row)去重查询。
以下示例对
t1表的a列进行去重查询。SELECT DISTINCT a FROM ts_db.t1; a -------- 11 22 33 NULL (4 rows)使用
WHERE语句过滤标签列。以下示例使用
WHERE语句过滤t1表的a列。SELECT tag1 FROM ts_db.t1 WHERE a =11; tag1 -------- 33 33 (2 rows)使用
GROUP BY和ORDER BY语句对数据列进行分类和排序。以下示例使用
GROUP BY语句对t1表的a列进行分类和排序。SELECT a, max(b) FROM ts_db.t1 GROUP BY a ORDER BY a; a | max -------+------- NULL | NULL 11 | 33 22 | 44 33 | 55 (4 rows)
分组窗口查询
KaiwuDB 支持基于特定条件(如时间间隔、数据行数或状态信息等)对数据进行分组并进行聚合查询。
说明
- 目前,分组窗口查询必须与
GROUP BY子句搭配使用,且分组列需置于窗口函数之前。分组列支持主标签、普通标签和数据列,以及上述列的任意组合。 - 分组窗口查询目前仅支持单表查询,不支持嵌套查询、关联查询、联合查询。分组条件仅支持数据列或标签列,不支持表达式(如
a+b、abs(a)等)。
具体支持的分组窗口函数如下:
计数窗口:基于固定的数据行数划分窗口,数据按时间戳排序后,划分为指定行数的窗口。如果数据总行数无法整除指定行数,最后一个窗口将包含少于指定行数的数据。
以下示例中,数据按每 3 行为一组,分为 2 个窗口。

KaiwuDB 支持用户设置滑动偏移行数,以指定两个窗口起始点间的行数间隔,控制窗口的重叠程度。第⼀个窗⼝为
[1, 1+row_limit), 第⼆个窗⼝为[1+sliding_rows, 1+sliding_rows+row_limit)。以下示例中,固定数据行数为 3,滑动偏移为 2 行,将数据划分为 3 个窗口,其中第一个窗口为第
[1,4)行数据,第二个窗口为第[3,6)行数据。
事件窗口:基于开始和结束条件动态划分数据窗口。当数据满足开始条件时窗口开启,满足结束条件时窗口关闭。开始和结束条件均支持任意表达式,并且可以涉及不同的列。
当某条数据同时满足开始和结束条件,且当前无活跃窗口时,该数据将独立构成一个完整窗口。数据流结束时,最后一个窗口即使未满足结束条件,也会被视为完整窗口。
以下示例中,开始条件为速度小于 40,结束条件为车道号为 2,符合条件的数据被划分为 2 个窗口。其中,第五行数据同时满足开始和结束条件,构成一个完整的窗口,最后一行数据仅满足开始条件但未满足结束条件,因数据流结束也构成完整窗口。

会话窗口:根据时间戳列和指定的最大连续时间间隔判断数据是否属于同一窗口。如果相邻数据的时间间隔超过允许的最大时间间隔,将被分配到不同窗口。
以下示例中,最大时间间隔设置为 5 分钟,第二行数据与第三行数据,以及第五行与第六行数据的时间间隔均超过 5 分钟,数据因此被划分为 3 个窗口。

状态窗口:基于设备状态变化划分数据窗口。具有相同状态的连续数据会归入同一窗口,当状态发生变化时,当前窗口结束并开启新窗口。
以下示例中,以车道号作为状态字段进行窗口划分,根据车道号的变化将数据分为5个窗口,结果按时间戳排序输出。

时间窗口:基于时间戳列和指定的时间间隔划分窗口。
数据按时间戳排序后,系统会根据第一个时间戳和给定的时间间隔计算窗口的起始时间(
t0)。t0为第一个时间戳基于时间间隔向下取整的结果,即调整为小于或等于该时间戳的最大时间点。例如,如果第一个时间戳是2025-1-10 12:01:00.000,时间间隔是 10 分钟,则t0会向下取整为2025-1-10 12:00:00.000。如果时间间隔是 1 年,则t0会向下取整为2025-1-1 00:00:00.000。以下示例中,时间间隔设置为 10 分钟,数据被划分为 3 个窗口:
[2025-1-10 12:00:00.000, 2025-1-10 12:10:00.000)、[2025-1-10 12:10:00.000, 2025-1-10 12:20:00.000)和[2025-1-10 12:20:00.000, 2025-1-10 12:30:00.000)。
KaiwuDB 支持用户设置滑动偏移间隔,控制窗口的重叠程度,此时,
t0的计算方式为:首先基于第一个时间戳和滑动偏移向上取整,即调整为大于或等于该时间戳的最小时间点,然后减去时间间隔的值。例如,如果第一个时间戳是2025-1-10 12:01:00.000,时间间隔是 10 分钟,偏移间隔为 5 分钟,则t0将根据滑动偏移向上取整后调整为2025-1-10 12:05:00.000,减去时间间隔后为2025-1-10 11:55:00.000。如果时间间隔是 1 年,偏移间隔为 1 天,则t0为2024-1-11 00:00:00.000。以下示例中,时间间隔设置为 10 分钟,滑动偏移为 5 分钟,数据被划分为 6 个窗口,分别为
[2025-1-10 11:55:00.000, 2025-1-10 12:05:00.000)、[2025-1-10 12:00:00.000, 2025-1-10 12:10:00.000)、[2025-1-10 12:05:00.000, 2025-1-10 12:15:00.000)、[2025-1-10 12:10:00.000, 2025-1-10 12:20:00.000)、[2025-1-10 12:15:00.000, 2025-1-10 12:25:00.000)和[2025-1-10 12:20:00.000, 2025-1-10 12:25:00.000)。
所需权限
- 非三权分立模式下,用户是
admin角色的成员或者拥有目标表的 SELECT 权限。默认情况下,root用户属于admin角色。 - 三权分立模式下,用户是拥有目标表 SELECT 权限的普通用户。
语法格式

参数说明
| 参数 | 说明 |
|---|---|
column_list | 可选参数,指定一个或多个分组列,包括主标签、普通标签和数据列,列名之间用逗号分隔。 |
row_limit | 计数窗口中,指定分组的数据行数。 |
sliding_rows | 计数窗口中,指定相邻窗口起始点间的差距,以控制窗口的重叠程度,值必须小于或等于 row_limit。 |
start_condition | 事件窗口中,指定窗口开始的条件,可以是任意表达式,也可以涉及不同的列。 |
end_condition | 事件窗口中,指定窗口结束的条件,可以是任意表达式,也可以涉及不同的列。 |
ts_column | 会话窗口和时间窗口中,指定第一列时间戳列。 |
session_threshold | 会话窗口中,指定最大连续时间间隔。如果两条相邻数据的时间间隔超过会话允许的最大时间间隔时,则数据分属于不同窗口。支持的单位包括 s(秒)、m (分)、h (时)、d (天)和 w (周) ,不支持复合时间格式,例如 1m2s。 |
column_name | 状态窗口中,指定表的数据列或标签列。 - 当指定列为数据列时,其数据类型必须为整数、布尔值或除 GEOMETRY 之外的字符类型。 - 当指定列为标签列时,其数据类型必须为整数、布尔值或除 GEOMETRY 和 NVARCHAR 之外的字符类型。 |
case_when_expr | 状态窗口中,表示满足指定条件后状态开始或结束的表达式,例如,STATE_WINDOW (CASE WHEN voltage >= 225 AND voltage <= 235 THEN 1 ELSE 0 END) 表示当电压在 225 至 235 之间时,状态为 1,否则为 0。 |
interval | 时间窗口中,指定时间间隔, 单位包括毫秒、秒、分、小时、天、周、月、年,不支持复合时间格式,如 1d1h。时间间隔必须不小于 10 毫秒。各时间单位支持的输入格式如下所示: - 毫秒: ms、msec、msecs、millisecond、milliseconds - 秒: s、sec、secs、second、seconds - 分: m、min、mins、minute、minutes - 小时: h、hr、hrs、hour、hours- 天: d、day、days - 周: w、week、weeks - 月: mon、mons、month、months - 年: y、yr、yrs、year、years |
sliding_interval | 时间窗口函数中,指定滑动偏移间隔。支持的单位包括毫秒、秒、分、小时、天、周,不支持复合时间格式,如 1d1h。 各时间单位支持的输入格式如下所示: - 毫秒: ms、msec、msecs、millisecond、milliseconds - 秒: s、sec、secs、second、seconds - 分: m、min、mins、minute、minutes - 小时: h、hr、hrs、hour、hours- 天: d、day、days - 周: w、week、weeks 注意:时间间隔与滑动偏移间隔不宜相差太大,否则可能会影响查询性能,如果窗口过多,还会导致内存不足。 |
语法示例
以下示例假设已创建时序表 vehicles 并写入了数据:
-- 创建时序表
create table vehicles (ts timestamp not null, vehicle_id varchar, speed float, lane_no int) tags (location int not null) primary tags (location);
-- 写入数据
insert into vehicles values ('2025-1-10 12:01:00.000', 'A11111',35,1,1),('2025-1-10 12:02:00.000','A22222',30,1,1),('2025-1-10 12:09:00.000','A33333',35,2,1),('2025-1-10 12:11:00.000','A44444',40,3,1),('2025-1-10 12:12:00.000','A55555',25,2,1),('2025-1-10 12:21:00.000','A66666',35,1,1);
-- 查询表数据
select * from vehicles;
ts | vehicle_id | speed | lane_no | location
----------------------------+------------+-------+---------+-----------
2025-01-10 12:01:00+00:00 | A11111 | 35 | 1 | 1
2025-01-10 12:02:00+00:00 | A22222 | 30 | 1 | 1
2025-01-10 12:09:00+00:00 | A33333 | 35 | 2 | 1
2025-01-10 12:11:00+00:00 | A44444 | 40 | 3 | 1
2025-01-10 12:12:00+00:00 | A55555 | 25 | 2 | 1
2025-01-10 12:21:00+00:00 | A66666 | 35 | 1 | 1
(6 rows)
使用计数窗口进行聚合查询,窗口间不重叠
以下示例使用计数窗口将每 3 条记录划分为一个窗口,窗口间不重叠。
count(ts)计算每个窗口中的记录数,avg(speed)计算每个窗口内的平均速度。SELECT count(ts) as records, avg(speed) as avg_speed FROM vehicles GROUP BY COUNT_WINDOW (3); records | avg_speed ----------+--------------------- 3 | 33.333333333333336 3 | 33.333333333333336 (2 rows)使用计数窗口进行聚合查询,窗口间有重叠
以下示例使用计数窗口将每 3 条记录划分为一个窗口,每个窗口起始点相差 2 行,形成重叠。
count(ts)计算每个窗口中的记录数,avg(speed)计算每个窗口内的平均速度。SELECT count(ts) as records, avg(speed) as avg_speed FROM vehicles GROUP BY COUNT_WINDOW (3,2); records | avg_speed ----------+--------------------- 3 | 33.333333333333336 3 | 33.333333333333336 2 | 30 (3 rows)使用事件窗口进行聚合查询
以下示例使用开始条件
speed<40,结束条件lane_no=2来划分数据窗口,count(ts)计算每个窗口中的记录数,avg(speed)计算每个窗口内的平均速度。SELECT count(ts) as records, avg(speed) as avg_speed FROM vehicles GROUP BY EVENT_WINDOW (speed<40,lane_no=2); records | avg_speed ----------+--------------------- 3 | 33.333333333333336 1 | 25 1 | 35 (3 rows)使用会话窗口进行聚合查询
以下示例基于时间戳列
ts来划分数据窗口。相邻数据的最大时间间隔为 5 分钟,如果时间间隔超过 5 分钟,则开启新的会话窗口。count(ts)计算每个窗口的记录数,avg(speed)计算每个窗口内的平均速度。SELECT count(ts) as records, avg(speed) as avg_speed FROM vehicles GROUP BY SESSION_WINDOW (ts,'5m'); records | avg_speed ----------+--------------------- 2 | 32.5 3 | 33.333333333333336 1 | 35 (3 rows)使用状态窗口进行聚合查询
以下示例使用
lane_no划分数据窗口,每个不同的lane_no值对应一个单独的窗口。count(ts)计算每个窗口中的记录数,avg(speed)计算每个窗口内的平均速度。SELECT count(ts) as records, avg(speed) as avg_speed FROM vehicles GROUP BY STATE_WINDOW (lane_no); records | avg_speed ----------+------------ 2 | 32.5 1 | 35 1 | 40 1 | 25 1 | 35 (5 rows)使用时间窗口进行聚合查询,各窗口间不重叠
以下示例根据时间戳列
ts划分数据窗口,每个窗口的时间跨度为 10 分钟,且各窗口间不重叠。count(ts)计算每个窗口内的记录数,avg(speed)计算每个窗口内的平均速度。SELECT count(ts) as records, avg(speed) as avg_speed FROM vehicles GROUP BY TIME_WINDOW (ts,'10m'); records | avg_speed ----------+--------------------- 3 | 33.333333333333336 2 | 32.5 1 | 35 (3 rows)使用时间窗口进行聚合查询,各窗口间有重叠
以下示例根据时间戳列
ts划分数据窗口,每个窗口的时间跨度为 10 分钟,窗口间起始时间相差 5 分钟。count(ts)计算每个窗口内的记录数,avg(speed)计算每个窗口内的平均速度。SELECT count(ts) as records, avg(speed) as avg_speed FROM vehicles GROUP BY TIME_WINDOW (ts,'10m','5m'); records | avg_speed ----------+--------------------- 2 | 32.5 3 | 33.333333333333336 3 | 33.333333333333336 2 | 32.5 1 | 35 1 | 35 (6 rows)
嵌套查询
嵌套查询指在一个 SQL 查询中嵌套另一个完整的 SQL 查询,从而实现更复杂的数据检索。
KaiwuDB 支持以下嵌套查询:
- 相关子查询(Correlated Subquery):内部查询依赖于外部查询的结果,每次外部查询都触发内部查询。
- 非相关子查询(Non-Correlated Subquery):内部查询独立于外部查询,只执行一次内部查询并返回固定的结果。
- 相关投影子查询(Correlated Scalar Subquery):内部查询依赖于外部查询的结果,并且只返回一个单一的值作为外部查询的结果。
- 非相关投影子查询(Non-Correlated Scalar Subquery):内部查询独立于外部查询,并且只返回一个单一的值作为外部查询的结果。
FROM子查询:将一个完整的 SQL 查询嵌套在另一个查询的FROM子句中,作为临时表格使用。
所需权限
用户是 admin 角色的成员或者拥有目标表的 SELECT 权限。默认情况下,root 用户属于 admin 角色。
语法格式
参数说明
无
语法示例
非相关子查询
SELECT e1 FROM ts_stable1 WHERE e1 = (SELECT avg (e1) FROM t1.stable); e1 (0 rows)非相关投影子查询
SELECT first (e1) = (SELECT e1 FROM ts_stable2 limit 1) FROM ts_stable1; ?column? ------------- t (1 row)相关子查询
SELECT e1 FROM t1.stable WHERE e1 in (SELECT e1 FROM t1.stable2 WHERE stable.e2=stable2.e2); e1 ----- 1000 2000 3000 2000 3000 4000 3000 4000 5000 (9 rows)相关投影子查询
SELECT sum(e1) = (SELECT e1 FROM ts_stable2 WHERE ts_stable2.e1=e1) FROM ts_stable1; ?column? ------------- t (1 row)FROM子查询SELECT avg (a) FROM (SELECT e1 as a FROM t1.ts_stable1); avg ------ 1000 (1 row)
关联查询
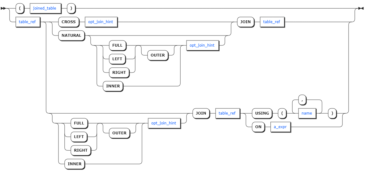
关联查询(JOIN QUERY)从多个表中获取相关联的数据,将其联接成一个结果集,从而得到更丰富的信息。KaiwuDB 支持以下关联类型:
- 内连接(INNER JOIN)
- 左连接(LEFT JOIN)
- 右连接(RIGHT JOIN)
- 全连接(FULL JOIN)
说明
使用 FULL JOIN 时,避免在连接条件中使用子查询。
所需权限
用户是 admin 角色的成员或者拥有目标表的 SELECT 权限。默认情况下,root 用户属于 admin 角色。
语法格式

opt_join_hint
参数说明
| 参数 | 说明 |
|---|---|
joined_table | 连接表达式。 |
table_ref | 表的表达式。 |
opt_join_hint | 可选项,连接提示。 |
a_expr | ON 连接条件的标量表达式。 |
name | USING 连接条件的列名。 |
语法示例
SELECT ts_table1.e1, ts_table2.e1 FROM ts_table1 LEFT JOIN ts_table2 ON ts_table1.e1 = ts_table2.e1;
e1 | e1
----+-----
1000|1000
(1 row)
联合查询
联合查询(UNION QUERY)将具有相同列结构的多个查询结果组合成一个结果表。
所需权限
用户是 admin 角色的成员或者拥有目标表的 SELECT 权限。默认情况下,root 用户属于 admin 角色。
语法格式

参数说明
| 参数 | 说明 |
|---|---|
UNION | 将两个或多个查询结果合并成一个结果集,并自动去除重复的行。 |
INTERSECT | 将两个查询结果的交集作为最终结果集。 |
EXCEPT | 返回只存在于第一个查询结果中而不存在于第二个查询结果中的行。 |
语法示例
SELECT e1 FROM t1.ts_stable1 UNION SELECT e1 FROM t1.ts_stable2;
e1
------
1000
(1 row)
插值查询
KaiwuDB 支持使用 FILL 子句对指定时间点的查询结果进行补值。当查询的时间点无数据时,FILL 子句根据指定策略返回补充值,适用于工业时序数据中测点的精准查询场景。
说明
WHERE子句必须存在,且只能包含主标签和时间戳精确匹配条件,不支持模糊查询。- 无论使用哪种补值策略,返回结果的时间戳始终是
WHERE子句中指定的时间点,而非补值来源数据的实际时间戳。
所需权限
- 非三权分立模式下,用户是
admin角色的成员或者拥有目标表的 SELECT 权限。默认情况下,root用户属于admin角色。 - 三权分立模式下,用户是拥有目标表 SELECT 权限的普通用户。
语法格式

参数说明
| 参数 | 说明 |
|---|---|
column_name | 查询列,只允许使用单列,不支持表达式。 |
table_name | 查询表,只允许使用单表,不支持子查询。 |
ptag_name | 主标签名,只支持精确匹配,不支持模糊查询。 |
ptag_value | 主标签值,字符串类型。格式为 'value'。 |
ts_column_name | 时间戳列名,只支持精确匹配。 |
timestamp_value | 时间戳列的匹配值,格式为 'YYYY-MM-DD HH:MM:SS[.mmm]'。 |
EXACT | 精确填充。如果查询时间点无数据,返回 NULL,时间戳为查询时间。 |
PREVIOUS | 前值填充。如果查询时间点无数据,返回之前时间点最新的一个有效值。设置 before_range 时,在 [T - before_range, T] 区间内查找;区间内无有效值则返回 NULL。 |
NEXT | 后值填充。如果查询时间点无数据,返回之后时间点最近的一个有效值。设置 after_range 时,在 [T, T + after_range] 区间内查找;区间内无有效值则返回 NULL。 |
CLOSER | 最近值填充。如果查询时间点无数据,返回前后时间点中距查询时间最近的有效值;前后距离相等时取前值。设置 close_range 时,在 [T - close_range, T + close_range] 区间内查找;区间内无有效值则返回 NULL。 |
CONSTANT | 常量填充。如果查询时间点无数据,用指定常量替换所有类型兼容的数据列。常量类型与列类型不兼容,或类型宽度超出列范围时返回 NULL。 |
LINEAR | 线性插值填充。如果查询时间点无数据,找该时间点前后各一个最近的有效值,根据时间距离按比例估算出一个补值。只适用于数值类型。如果前后任意一侧没有有效值,返回 NULL。设置 before_range 和 after_range 时,分别限定向前和向后的查找范围。 |
before_range | 可选参数,整数常量,单位 ms。指定向前查找的时间窗口范围。取值必须大于等于 0,否则报错。 |
after_range | 可选参数,整数常量,单位 ms。NEXT 策略指定向后查找范围;LINEAR 策略指定向后查找范围(before_range 指定向前)。取值必须大于等于 0,否则报错。 |
close_range | 可选参数,整数常量,单位 ms。CLOSER 策略指定前后查找范围。取值必须大于等于 0,否则报错。 |
const | 常量填充值,用于 CONSTANT 策略。支持 BOOL、INT、FLOAT、字符串类型,实际可填充的列类型由运行时兼容性决定。 |
各数据类型支持的填充方式如下表所示:
| 数据类型 | 支持的填充方式 |
|---|---|
| BOOL | EXACT、PREVIOUS、NEXT、CLOSER、CONSTANT |
| INT(INT2、INT4、INT8) | EXACT、PREVIOUS、NEXT、CLOSER、CONSTANT、LINEAR |
| FLOAT(FLOAT4、FLOAT8) | EXACT、PREVIOUS、NEXT、CLOSER、CONSTANT、LINEAR |
| CHAR、NCHAR、VARCHAR、NVARCHAR | EXACT、PREVIOUS、NEXT、CLOSER、CONSTANT |
| VARBYTES | EXACT、PREVIOUS、NEXT、CLOSER、CONSTANT |
语法示例
以下示例假设已创建时序数据库 ts_db 并执行以下建表和写入操作:
CREATE TS DATABASE ts_db;
USE ts_db;
CREATE TABLE metric_ts (
k_timestamp TIMESTAMP NOT NULL,
data1 FLOAT8,
data2 FLOAT8
) TAGS (device_id CHAR(40) NOT NULL, alias CHAR(40)) PRIMARY TAGS(device_id);
INSERT INTO metric_ts VALUES('2025-12-19 10:00:02.150', 1, 11, 'device1', 'beijing');
INSERT INTO metric_ts VALUES('2025-12-19 10:00:02.500', 2, 22, 'device1', 'beijing');
使用精确填充(EXACT)查询
以下示例查询时间点
10:00:02.200处的数据,该时间点无数据,精确填充返回 NULL。SELECT k_timestamp, data1, data2 FROM ts_db.metric_ts WHERE device_id = 'device1' AND k_timestamp = '2025-12-19 10:00:02.200' FILL(EXACT); k_timestamp | data1 | data2 ----------------------------+-------+------- 2025-12-19 10:00:02.2+00:00 | NULL | NULL (1 row)使用前值填充(PREVIOUS)查询
以下示例查询时间点
10:00:02.200处的数据,该时间点无数据,前值填充返回之前最近的有效值。SELECT k_timestamp, data1, data2 FROM ts_db.metric_ts WHERE device_id = 'device1' AND k_timestamp = '2025-12-19 10:00:02.200' FILL(PREVIOUS); k_timestamp | data1 | data2 -------------------------------+-------+------- 2025-12-19 10:00:02.2+00:00 | 1 | 11 (1 row)以下示例设置
before_range为 20 ms,在[10:00:02.180, 10:00:02.200]区间内查找,该区间内无有效值,返回 NULL。SELECT k_timestamp, data1, data2 FROM ts_db.metric_ts WHERE device_id = 'device1' AND k_timestamp = '2025-12-19 10:00:02.200' FILL(PREVIOUS, 20); k_timestamp | data1 | data2 -------------------------------+-------+------- 2025-12-19 10:00:02.2+00:00 | NULL | NULL (1 row)使用后值填充(NEXT)查询
以下示例查询时间点
10:00:02.200处的数据,该时间点无数据,后值填充返回之后最近的有效值。SELECT k_timestamp, data1, data2 FROM ts_db.metric_ts WHERE device_id = 'device1' AND k_timestamp = '2025-12-19 10:00:02.200' FILL(NEXT); k_timestamp | data1 | data2 -------------------------------+-------+------- 2025-12-19 10:00:02.2+00:00 | 2 | 22 (1 row)使用最近值填充(CLOSER)查询
以下示例查询时间点
10:00:02.400处的数据,该时间点无数据,最近值填充返回前后时间点中距查询时间最近的有效值。SELECT k_timestamp, data1, data2 FROM ts_db.metric_ts WHERE device_id = 'device1' AND k_timestamp = '2025-12-19 10:00:02.400' FILL(CLOSER); k_timestamp | data1 | data2 -------------------------------+-------+------- 2025-12-19 10:00:02.4+00:00 | 2 | 22 (1 row)使用常量填充(CONSTANT)查询
以下示例查询时间点
10:00:02.200处的数据,该时间点无数据,常量填充用指定常量123替换所有类型兼容的数据列。SELECT k_timestamp, data1, data2 FROM ts_db.metric_ts WHERE device_id = 'device1' AND k_timestamp = '2025-12-19 10:00:02.200' FILL(CONSTANT, 123); k_timestamp | data1 | data2 -------------------------------+-------+------- 2025-12-19 10:00:02.2+00:00 | 123 | 123 (1 row)使用线性插值填充(LINEAR)查询
以下示例查询时间点
10:00:02.500处的数据,该时间点无数据,线性插值填充根据前后有效值计算补值。-- 写入第三条数据用于线性插值 INSERT INTO metric_ts VALUES('2025-12-19 10:00:02.600', 3, 33, 'device1', 'beijing'); SELECT k_timestamp, data1, data2 FROM ts_db.metric_ts WHERE device_id = 'device1' AND k_timestamp = '2025-12-19 10:00:02.500' FILL(LINEAR); k_timestamp | data1 | data2 ------------------------------+-------+-------- 2025-12-19 10:00:02.5+00:00 | 2 | 22 (1 row)以下示例设置
before_range为 150 ms、after_range为 200 ms,限定查找区间后计算线性插值。SELECT k_timestamp, data1, data2 FROM ts_db.metric_ts WHERE device_id = 'device1' AND k_timestamp = '2025-12-19 10:00:02.250' FILL(LINEAR, 150, 200); k_timestamp | data1 | data2 -------------------------------+-------+-------- 2025-12-19 10:00:02.25+00:00 | NULL | NULL (1 row)